Skip to Main Content
District Home
Select a School...
Select a School
  • Adams Elementary School
  • Andover Elementary School
  • Brookside Elementary School
  • Champlin-Brooklyn Park Academy for Math and Environmental Science
  • Crooked Lake Elementary School
  • Dayton Elementary School
  • Eisenhower Elementary School
  • Evergreen Park Elementary: STEM School of Innovation
  • Franklin Elementary School
  • Hamilton Elementary School
  • Hoover Elementary School
  • Jefferson Elementary School
  • Johnsville Elementary School
  • Lincoln Elementary School for the Arts
  • Madison Elementary School
  • McKinley Elementary School
  • Mississippi Elementary School
  • Monroe Elementary School - Mathematics, Science and Children's Engineering
  • Morris Bye Elementary School
  • Oxbow Creek Elementary School
  • Ramsey Elementary School
  • Rum River Elementary School
  • Sand Creek Elementary School
  • Sunrise Elementary School
  • University Avenue Elementary School - Aerospace, Children's Engineering and Science
  • Wilson Elementary School
  • Anoka Middle School for the Arts
  • Coon Rapids Middle School
  • Jackson Middle School - A Specialty School for Math and Science
  • Northdale Middle School
  • Oak View Middle School
  • Roosevelt Middle School
  • Andover High School
  • Anoka High School - Center for Science, Technology, Engineering, Arts and Math (STEAM)
  • Blaine High School - Center for Engineering, Mathematics and Science
  • Champlin Park High School - International Baccalaureate Programme
  • Coon Rapids High School - Center for Biomedical Sciences and Engineering
  • Sandburg Regional High School
  • Anoka-Hennepin Technical High School
  • Secondary Technical Education Program (STEP)
  • Anoka-Hennepin Online
  • Compass Programs
  • Special Education
  • COVID-19 Information
  • Fit for the Future projects
  • Anoka-Hennepin Community Education
  • Staff intranet
  • Attendance boundaries
  • Referendum 2021
Sign In
Search
Accessibility
District
    Login

    Champlin Park High School International Baccalaureate Programme

    • Directory
    • Calendar
    • Enroll
    • About Us
        "
      • Directory
      • Schools in our district
      • About our school
      • International Baccalaureate
      • AVID program
      • School report card
      • Announcements, news
      • Back-to-school info
      • School Board
      • Policies
      • Enroll/register
      • Maps
      • Daily schedule
      • Handbook/planner
      • Document center
    • Academics
        "
      • Internships
      • Distance learning
      • Classroom/teacher pages
      • High school learning
      • Special education
      • Talent development
      • Online learning
      • Grade level and course info
      • Grading
      • Test info
    • Activities
        "
      • Yearbook order
      • Athletics
      • Calendar (activities only)
      • Calendar (adapted)
      • Clubs and groups
      • Fine arts
      • Registration
      • Online Ticket Sales
      • Graduation
    • Services
        "
      • Winter weather
      • Health
      • Nutrition
      • Transportation
      • Transcripts
      • Library media center
      • Safety and security
      • Facility use
    • Support
        "
      • Learning
      • Career center
      • Emotional, behavioral support
      • Physical, nutritional health
      • Chemical health
      • Bullying and harassment
      • Counseling
      • Community resources
      • Food shelf
      • Tip line
    • Involvement
        "
      • Community partnerships
      • District committees
      • Foundation (AHEF)
      • Fundraisers
      • Parenting resources
      • PTOs and booster clubs
      • Volunteer
      • Youth service
    • Community Ed
        "
      • Early learners
      • School-age youth
      • Adults
      • Registration
    • Teacher Websites
        "
      • Anderson, Matthew L
      • Art courses offered
      • Askew, Teresa A
      • Axness, Allison F
      • Bailey, Amanda
      • Baker-Raivo, Christopher S
      • Bakkene, Ronette J
      • Berge, Heather J
      • Bethke, Beth R
      • Beutel, Caitlin
      • Bieber, Maggie
      • Binger, Holly P
      • Bogenreif, Kerry J
      • Bogle, William L
      • Borchert, Kathryn R
      • Brown, Ashley L
      • Brumbaugh, Lori V
      • Butzlaff, Jeffrey A
      • Cain, Cynthia A
      • Carlson, Jessica R
      • Carlson, Nicholas D
      • Ceronsky, Kristin M
      • Comstock, Levi G
      • Darda, Paul N
      • Davis, Cory M
      • Defranco, Hannah
      • DeFranco, Hannah (from STEP)
      • Depies, Joel M
      • Doy, Jennifer
      • Enderle, Michael B
      • English language arts
      • Evensen, Dave
      • Evensen, David A
      • FitzSimons, John V
      • Floss, Anne
      • Foss, Daniel W
      • Gallagher, Karen L
      • Garofano, Janis A
      • Gatta, Keira
      • Geiselman, Joe
      • Gerlach, Carter J
      • Giles, Jalen
      • Goedeken, Eliot
      • Goodrich, James M
      • Gregory, Joe
      • Grivna, Sieglinde Y
      • Hable, Kari M
      • Hackenmiller, Allison
      • Haines, Stephanie A
      • Hall, Joseph B
      • Hannes, Jesse L
      • Harris, Danielle L
      • Hart, Jillian M
      • Hedin, Mark A
      • Hedlund, Jeffrey M
      • Hendrickson, Matthew J
      • Her, Gaoly
      • Higginbotham, Robert W
      • Hirt, Jonathan A
      • Hirt, Kaia
      • Hoekman, Linda K
      • Hoelz, Matthew J
      • Holzhaeuser, Hannah
      • Holzhaeuser, John M
      • Huchel, April M
      • Hunter, Aaron M
      • Jensen, Adam J
      • Johnson, Bruce D
      • Johnson, Nicholas A
      • Johnson, Stephen A
      • Johnson, Teresa M
      • Jones, Linda M
      • Karlsrud, Ingrid
      • Kaufmann, Susan J
      • Keenan, Nick
      • Kennedy, Amy L
      • Kerber, Mark D
      • Knutson, Matt
      • Knutson, Robert L
      • Korton, Michael D
      • Kronzer, Nicole M
      • LaGree, Brent T
      • Larson, Brian A
      • Larson, Georgia S
      • Leonhardt, Bruce J
      • Lijewski, Pamela A
      • Lijewski, Patrick A
      • Luke, Robert A
      • Lyons, Steven G
      • Manbeck, Angela M
      • Mantini, David S
      • Maresh, William D
      • Maurer, Alex
      • Maurer, Andrew S
      • Meichsner, McKinzie L
      • Meis, Amanda R
      • Miller, Allison P
      • Miller, Maia L
      • Molohon, Kevin G
      • Moore, Amy K
      • Nelson, Kelley A
      • Nettleton, Brianna J
      • New HS Teacher Template - DO NOT DELETE
      • Ockuly, Peter H
      • Oliverius, Judith E
      • Olson, Christina M
      • Olstad, Laura M
      • Oprea, Anca L
      • Oraskovich, Sadie J
      • Pedina, Martha C
      • Periolat, Michael R
      • Peterson, Jason W
      • Peterson, Sarah
      • Phillips, Michael A
      • Polchow, Deborah R
      • Premsukh, Yashkumarie D
      • Rasavong, Vanhtha
      • Rasmussen, Kirsten E
      • Rengo, Megan
      • Retterath, Rachel
      • Retterath, Rachel E
      • Rieck, Jana L
      • Rita, Julie K
      • Ruid, James G
      • Sanders, Clark D
      • Saunders, Taylor
      • Saxon, Mary M
      • Shaw, Jamie L
      • Shaw, Luke C
      • Shore, Cynthia K
      • Skakal, Paige M
      • Snell, Katrina A
      • Subteacher, CPHS
      • Swenson, Douglas M
      • Tempel, Laura A
      • Tenold, Loren J
      • Tohm, Ryan M
      • VanVoorhis, Thomas M
      • Vistad, Chantel C
      • Voss, Jamie S
      • Ward, Julie A
      • Watson, Kasden
      • Weise, Michelle M
      • Welle, Hannah L
      • Welle, Sara A
      • Wertsch, Scott R
      • Westman, Taylor K
      • Wick, Diane J
      • Widestrom-Landgraf, Katherine C
      • Witchger, Meghann M
      • Wong, Verna P
      • Woodley, Bryan D
      • Wynia, Jonathan D
      • Yang, Meng
      • Larson, Haley R
      • Loso, Megan
      • Testing Center
      • Weisz, Jamie L
      • CPHS Registration Page
    • Athletics/Activities Websites
        "
      • Adapted bowling
      • Adapted floor hockey
      • Adapted soccer
      • Adapted softball
      • Baseball
      • Basketball, boys
      • Basketball, girls
      • Catalyst Club
      • Cheerleading
      • Cheerleading - Sideline
      • CP Claybusters - Trap Shooting Team
      • Cross country running
      • Dance team
      • Debate
      • Football
      • French Club
      • Future Educators Club
      • Golf, boys
      • Golf, girls
      • Green Club
      • GSA (Gender, Sexuality, Acceptance)
      • Gymnastics
      • Hockey, boys
      • Hockey, girls
      • Intramurals
      • Lacrosse, boys
      • Lacrosse, girls
      • Leo Club
      • Link Crew
      • Mountain Bike Club
      • Robotics
      • Skiing, alpine
      • Skiing, nordic
      • Soccer, boys
      • Soccer, girls
      • Softball
      • Speech Team
      • Strength training
      • Swimming, boys
      • Swimming, girls
      • Tennis, boys
      • Tennis, girls
      • Track and Field
      • Track, girls
      • Volleyball, girls
      • Volleyball, boys
      • Volleyball, intramural
      • Wrestling
      • Business Professionals of America
    • Champlin Park High School - International Baccalaureate Programme
    • AP Calculus AB/BC, AP Calculus BC, IB Math HL Year 1

    Tenold, Loren J

    Page Navigation

    • Loren Tenold's Homepage
    • AP Calculus AB/BC, AP Calculus BC, IB Math HL Year 1
      • AP Calculus Notes
        • Chapter 01 - Review
        • Chapter 02 - Limits
        • Chapter 03 - Derivatives
        • Chapter 04 - Applications of Derivatives
        • Chapter 05 - Integration
        • Chapter 06 - Integration Techniques
        • Chapter 07 - Applications of Integration
        • Chapter 08 - Advanced Limit Methods
        • Chapter 09 - Sequences and Series
        • Chapter 10 - Parametric, Vector, and Polar Calculus
        • Chapter 11 - Integration Methods
      • AP Calculus Resources
        • Calculus Unit Syllabii
        • AP Calculus Course Documents
        • Calculus Textbook
        • AP Calculus Solutions Manual
        • Calculus Worksheets
          • Sequences and Series
          • Additional Integration Techniques
        • Calculus Videos
      • AP Calculus Review Sessions
        • Multiple Choice Tests
        • Session 1 - Derivatives
        • Session 2 - Integration
        • Session 3 - Limits, Continuity, and Differentiability
        • Session 4 - Integral Applications
        • Session 5 - Implicit and Related Rates
        • Session 6 - Min, max, Inflection Points
        • Session 7 - Integration Techniques
        • Session 8 - Area and Volume
        • Session 9 - DiffyQ, Slope Fields, and Euler's Method
        • Session 10 - Misc BC Topics
        • Session 11 - Taylor Series
        • Session 12 - Parametric, Vector, and Polar
      • Calc Review Battleship
    • IB Math HL Year 2
      • IB Math HL Year 12 Notes
        • Chapter 04 - Counting Methods
        • Chapter 11 - Statistics
        • Chapter 12 - Probability
        • Chapter 17 - Probability Distributions
        • Chapter 9 & 14 - Vectors
        • Chapter 10 - Complex Numbers
      • IB Math HL Resources
        • IB Math HL Course Documents
        • IB Math HL Textbook
        • IB Math HL Solutions Manual
        • IB Math HL Review HW Solutions
        • IB Math HL Options Units
        • IB Math HL Internal Assessment
    • Intermediate Algebra
      • Intermediate Algebra Resources
        • Intermediate Algebra Solutions Manual
        • Intermediate Algebra (2-Tri)
          • Intermediate Algebra (2-Tri) Unit Syllabii
          • Intermediate Algebra (2-Tri) Worksheets
          • Intermediate Algebra (2-Tri) Course Documents
        • Intermediate Algebra (3-Tri)
          • Intermediate Algebra (3-Tri) Unit Syllabii
          • Intermediate Algebra (3-Tri) Worksheets
          • Intermediate Algebra (3-Tri) Course Documents
      • Intermediate Algebra Notes
        • Intermediate Algebra (2-Tri) Notes
        • Intermediate Algebra (3-Tri) Notes
          • Unit 0 Notes
          • Unit 1 Notes
    • Interesting Reads
    • Further Math HL
      • Further Math Course Documents
      • Further Math Chapter Syllabii
    • Session 4 FR - Int Apps 
      2005 AB3B
      2007 AB2
      2007 AB2B 
      2008 AB2B
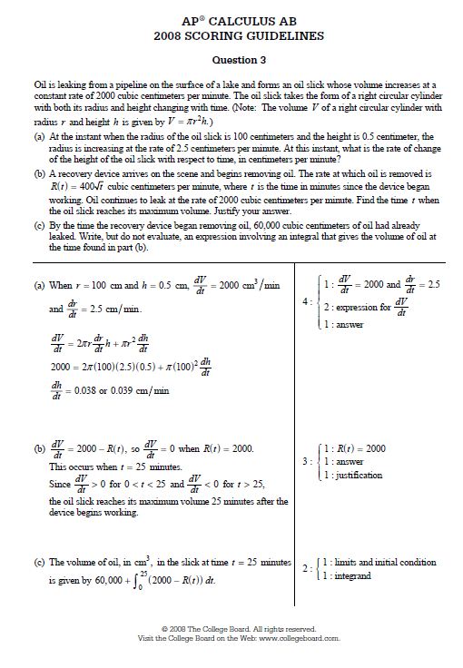
      2008 AB3 
      2009 AB2B
      2010 AB1 
      2011 AB1 

    Champlin Park High School International Baccalaureate Programme

    6025 109th Ave. N Champlin, MN 55316

    763-506-6800

    Hours

    Connect

    • Facebook
    • Twitter
    • Instagram
    • YouTube
    • LinkedIn
    Subscribe to news
    • Site Map
    • Privacy Policy
    • Notices
    • Staff intranet
      • Questions or Feedback? |
      • Web Community Manager Privacy Policy (Updated) |
      Copyright © 2025 Finalsite - all rights reserved.
      Web Community Manager.
      CLOSE
      CLOSE